A. Regresi
Regresi merupakan suatu
alat ukur yang juga digunakan untuk mengukur ada atau tidaknya korelasi
antarvariabel. Istilahregresi yang berarti ramalan atau taksiran pertama kali
diperkenalkan oleh Sir Francis Galton pada tahun 1877. Analisis regresi adalah
studi tentang masalah hubungan beberapa variabel yang ditampilkan dalam
persamaan matematika (Andi, 2009). Analisis regresi lebih akurat dalam
melakukan analisis korelasi, peramalan atau perkiraan nilai variabel terikat
pada nilai variabel bebas lebih akurat pula karena pada analisis ini kesulitan
dalam menunjukkan slop (tingkat perubahan suatu variabel terhadap variabel lain
dapat ditentukan). Analisis regresi terbagi menjadi dua yaitu regresi linier
dan Nonlinier. Analisi regresi linear terdiri dari analisis regresi linear
sederhana dan analisis regresi linear berganda. Perbedaan antar keduanya
terletak pada jumlah variabel independennya. Regresi linear sederhana hanya
memiliki satu variabel independen, sedangkan regresi linear berganda mempunyai banyak
variabel independen. Analisis regresi Nonlinier adalah regresi eksponensial.
B. KRITERIA
DATA REGRESI LINIER
Terdapat dua syarat
yang harus dipenuhi oleh data dalam menggunakan analisis regresi linier yaitu :
1. Data
Data harus terdiri dari
dua jenis variabel, yaitu dependen dan independen. Selain itu data berupa
kuantitatif fan variabel berupa kategori, seperti SD, SMA, SMK, dll.
2. Asumsi
Setiap data diasumsikan
variabel dependen terdistribusi secara normal. Selain itu, antara variabel
dependen dan independen harus memiliki hubungan linier dengan observasi harus
saling bebas.
C. REGRESI
LINEAR SEDERHANA
1.
Pengertian
Regresi linear
sederhana adalah hubungan secara linear antara satu variabel independen (X)
dengan variabel dependen (Y). Analisis ini digunakan untuk mengetahui arah
hubungan antara variabel independen dengan variabel dependen apakah positif
atau negatif serta untuk memprediksi nilai dari variabel dependen apabila nilai
variabel independen mengalami kenaikan atau penurunan nilai. Data yang
digunakan biasanya berskala interval atau rasio. Rumus dari dari analisis
regresi linear sederhana adalah sebagai berikut:
Y’ = a + bX
Keterangan:
Y = subyek dalam variabel dependen yang
diprediksi
a = harga Y ketika harga X= 0 (harga konstan)
b
= angka arah atau koefisien regresi,
yang menunjukkan angka peningkatan ataupun penurunan variabel dependen yang
didasarkan pada perubahan variabel independen. Bila (+) arah garis naik, dan
bila (-) maka arah garis turun.
X
= subyek pada variabel independen yang
mempunyai nilai tertentu.
Secara
teknik harga b merupakan tangent dari perbandingan antara panjang garis
variabel dependen, setelah persamaan regresi ditemukan.
Dimana
:
R = koefisien korelasi product moment antara
variabel variabel X dengan variabel Y
Sy
= simpangan baku variabel Y
Sx
= simpangan baku variabel X
Jika
harga b merupakan fungsi dari koefisien korelasi. Bila koefisien korelasi
tinggi, maka harga b juga besar, sebaliknya bila koefisien korelasi rendah maka
harga b juga rendah (kecil). Selain itu bila koefisien korelasi negatif maka
harga b juga negatif, dan sebaliknya bila koefisien korelasi positif maka harga
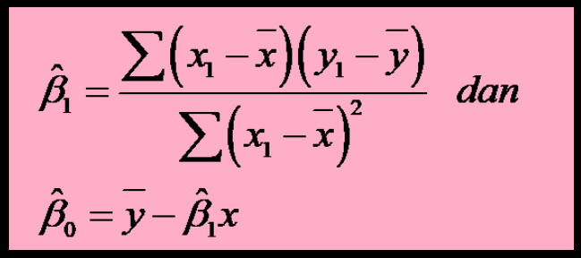
b juga positif. Selain itu harga a dan b dapat dicari dengan rumus berikut:
2.
Variabel Bebas dan Terikat Regresi
Linier Sederhana (Dependent And Independent Variable)
a.
Dependent Variable/Variabel Tak Bebas
(Y): Variabel yang nilainya ditentukan oleh variabel lain. Diasumsikan bersifat
random/stochastic
b.
Independent Variable/Variabel Bebas (X):
Variabel yang nilainya ditentukan secara bebas (variabel yang diduga
mempengaruhi variabel tak bebas). Diasumsikan bersifat fixed/non stochastic.
c.
Syarat : Y: Berjenis data
kuantitatif X: Berjenis data kuantitatif
atau kualitatif/kategorik
3.
Konsep Dasar Regresi Linier Sederhana
a.
Pada suatu nilai X tertentu akan
terdapat banyak kemungkinan nilai-nilai Y (Y akan terdistribusi mengikuti suatu
fungsi peluang tertentu Distribusi Normal) dengan Nilai rata-rata E(Y) dan
Nilai varians σ2 tertentu
b.
Nilai rata-rata E(Y) diasumsikan berubah
secara sistematik mengikuti perubahan nilai X, yang digambarkan dalam bentuk
garis linier
c.
Nilai varians σ2 pada setiap nilai X
akan sama
4.
Prosedur Penting Dalam Regresi Linier
Sederhana
Dalam
prosedur regresi hal pertama yang harus dilakukan adalah melakukan identifikasi
model dengan menggunakan Scatter plot
(diagram pencar) yang berguna untuk mengidentifikasi model hubungan
antara variabel X dan Y. Bila pencaran titik-titik pada plot ini menunjukkan
adanya suatu kecenderungan (trend) yang linier, maka model regresi linier layak
digunakan. Setelah itu dapat dilakukan estimasi terhadap parameter model.
Grafik
diatas merupakan contoh identifikasi model yang dilakukan dengan variabel X
adalah umur mobil dan variabel Y adalah harga mobil. Ternyata titik-titik
(plotting data) tersebut terlihat mengelompok di sekitar garis lurus dan
scatter plot tersebut, sebenarnya bisa ditarik beberapa garis yang dekat
terhadap titik-titik tersebut.
5.
Model Regresi Linear Sederhana
Yi
= β0 + β1Xi + εi (i = 1, 2, …, n)
dimana
:
Yi = merupakan nilai dari variabel dependent
pada observasi ke-i
β0
dan β1= merupakan parameter model
εi = merupakan komponen error (pengaruh variabel
bebas lain selain variabel X)
Xi = adalah nilai variabel bebas X pada
observasi ke-i
N = adalah banyaknya data observasi (sampel)
[alert-announce]Note: β0 dan β1 disebut juga koefisien regresi, β0
merupakan intercept dan β1 merupakan slope
(gradien garis) yang menyatakan perubahan nilai Y untuk setiap kenaikan satu satuan
X.[/alert-announce]
6.
Asumsi Regresi Linier Sederhana
Dalam
aplikasinya terdapat beberapa asumsi yang harus terpenuhi untuk melakukan
analisis regresi sederhana. Beberapa asumsi tersebut sebagai berikut :
a.
Yi (Variabel Tak Bebas/Dependent
Variable) merupakan random variable/bersifat stochastic
b.
Xi (Variabel bebas/Independent Variable)
bersifat fixed/non stochastic (bukan merupakan random variable)
c.
E(εi) = 0
d.
E(εi εj) = E(εi2) = σ2 untuk i = j
(Homoscedastic)
e.
E(εi εj) = 0 untuk i ≠ j (Non
autocorrelation)
f.
εi merupakan random variable yang
terdistribusi secara bebas dan indentik mengikuti distribusi normal dengan
rata-rata 0 dan varian σ2
Metode
estimasi yang digunakan pada regresi linier sederhana adalah Metode Kuadrat
Terkecil (Least Square Method) dengan prinsip meminimalkan ∑εi2 sehingga
estimasi parameternya :
Estimasi
untuk Y jika X diketahui :
Sifat-sifat
Estimator Least Squares
a.
Jika semua asumsi yang diberlakukan
terhadap model regresi terpenuhi, maka menurut suatu teorema (Gauss Markov
theorem) estimator tersebut akan bersifat BLUE (Best Linear Unbiased
Estimator).
b.
Best = Terbaik, mempunyai varian yang
minimum
c.
Linear = Linear dalam Variabel Random Y
d.
Unbiased = Tak bias
e.
Artinya estimator tersebut akan
unbiased, linier dan mempunyai varian yang minimum diantara semua estimator
unbiased & linier yang lain.
7.
Langkah Membuat Regresi Linear Sederhana
a.
Cari dulu apakah kedua variabel tersebut
ada hubungan linear atau tidak
b.
Tentukan terlebih dahulu variabel
independent (x) dan variabel dependennya(y)
c.
Membuat diagram pencar dari data x dan y
d.
Dari diagram pencar tersebut akan
diperoleh gambaran pola tebaran x dan y.apakah membentuk hubungan linear?jika
ya,maka model regresinya adalah regresi linear sederhana,kalau tidak linear
bias dicari regresinya
e.
Menghitung a dan b
f.
Menghitung y^=a+bx, dimana y^= estimasi
harga y jika x disubtitusikan kedalam persamaan regresi
g.
Membuat garis y^=a+bx pada sumbu x dan y
8.
Istilah-istilah dalam Regresi Linier
Sederhana
Koefisien
Korelasi (r) adalah nilai yang menyatakan kuat atau tidaknya hubungan antara 2
variabel
a.
Standar error koefisien regresi (E)
adalah ukuran dari ketepatan koefisien regresi dalam memprediksi nilai
populasinya.Standar error diukur berdasarkan akar kuadrat dari deviasi atau
varians koefisien regresi sampel dengan koefisien regresi populas
b.
Koefisien determinasi regresi(r 2)
adalah a. Nilai yang menunjukkan seberapa besar pengurangan variasi dalam Y
(variabel dependent) saat satu atau lebih X (variabel independent) masuk kedalam model regresi. b. Besarnya
sumbangan / andil dari variabel x terhadap variasi atau naik turunnya y
c.
Konstanta (a) adalah perpotongan garis
regresi dengan sumbu Y (nilai estimate jika x = 0)
d.
Koefisien arah dari regresi linear (b)
adalah nilai yang menunjukkan seberapa besar perubahan nilai Y (variabel
dependen) saat X (variabel independent) bertambah satu-satuan
h.
Uji
Koefisien Regresi Sederhana (Uji t)
Uji ini digunakan untuk
mengetahui apakah variabel independen (X) berpengaruh secara signifikan
terhadap variabel dependen (Y). Signifikan berarti pengaruh yang terjadi dapat
berlaku untuk populasi (dapat digeneralisasikan).
Rumus t hitung pada
analisis regresi adalah sebagai berikut:
Langkah-langkah
pengujian koefisien regresi sederhana adalah sebagai berikut:
1. Menentukan
Hipotesis
Ho = Tidak ada pengaruh
yang signifikan
Ha = ada pengaruh yang
signifikan
2. Menentukan
tingkat signifikansi
Biasanya menggunakan a
= 5% atau 0,05
3. Menentukan
t hitung
4. Menentukan
t tabel
5. Membandingkan
t hitung dan t table dengan kriteria
Ho diterima jika: t
hitung ≥ t tabel
Ho ditolak jika: t
hitung < t tabel
Ho diterima jika: -t
hitung ≤ t tabel
Ho di tolak jika: -t
hitung > t tabel
D. REGRESI LINEAR BERGANDA
Regresi
linear berganda adalah hubungan secara linear antara dua atau lebih variabel
independen (X1, X2, … Xn) dengan variabel dependen (Y). Analisis ini digunakan
untuk mengetahui arah hubungan antara variabel independen dengan variabel
dependen apakah masing-masing variabel independen berhubungan positif atau
negatif dan untuk memprediksi nilai dari variabel dependen apabila nilai
variabel independen mengalami kenaikan atau penurunan. Data yang digunakan
biasanya berskala interval atau rasio. Analisis regresi ganda digunakan oleh
peneliti, bila peneliti bermaksud meramalkan bagaimana keadaan (naik turunnya)
variabel independen (kriterium), bila dua atau lebih variabel independen
sebagai faktor predictor dimanipulasi (dinaik turunkan nilainya). Jadi analisis
regresi ganda akan dilakukan bila jumlah variabel independennya minimal 2.
Rumus dari analisis regresi linear berganda adalah sebagai berikut:
Analisis Korelasi Ganda
(R)
Analisis
ini digunakan untuk mengetahui hubungan antara 2 atau lebih variabel independen
terhadap variabel dependen secara serentak. Nilai R berkisar antara 0 dan 1.
Semakin mendekati angka 1 maka hubungan semakin kuat, sebaliknya jika semakin
mendekati angka 0 maka hubungan semakin lemah.
Rumus
korelasi ganda dengan 2 variabel independen adalah sebagai berikut:
Menurut
Sugiyono (2007) pedoman untuk memberikan interpretasi koefisien korelasi adalah
sebagai berikut:
Analisis
ini digunakan untuk mengetahui presentase sumbangan pengaruh variabel
independen secara serentak terhadap variabel dependen. Jika R2 bernilai 0 maka
tidak ada sedikitpun presentase sumbangan pengaruh yang diberikan variabel
independen terhadap variabel dependen, tetapi jika R2 bernilai 1 maka sumbangan
pengaruh yang diberikan variabel independen terhadap variabel dependen adalah
sempurna.
Rumus
untuk mencari koefisien determinasi dengan 2 variabel independen adalah sebagai
berikut:
untuk
menghitung b0, b1, b2 … bk dan
seterusnya kita menggunakan Metode Kuadrat Terkecil (Least Square Method) yang
menghasilkan persamaan model sebagai berikut :
untuk
dapat memudahkan dalam menghitung b0, b1, b2 dapat digunakan matriks sebagai
berikut :
dengan
:
A
= matriks(diketahui)
H
= vektor kolom(diketahui)
b
= vektor kolom(tidak diketahui)
Variabel
b dapat diselesaikan dengan cara sebagai berikut :
Ab=H
b=A-1H
Uji Koefisien Regresi
Secara Bersama-sama (Uji F)
Uji
ini digunakan untuk mengetahui apakah variabel independen secara bersama-sama
berpengaruh secara signifikan terhadap variabel dependen, atau digunakan untuk
mengetahui apakah model regresi dapat digunakan untuk memprediksi variabel
dependen atau tidak. Signifikan berarti hubungan yang terjadi dapat berlaku untuk
populasi (dapat digeneralisasikan).
Rumus
untuk mencari F hitung adalah sebagai berikut:
Langkah-langkah
dalam pengujian koefisien regresi secara bersama-sama adalah sebagai berikut:
1. Merumuskan
hipotesis
Ho = Tidak ada pengaruh yang signifikan
Ha = Terdapat pengaruh yang signifikan
2. Menentukan
tingkat signifikansi
Biasanya menggunakan
taraf a = 5%
3. Menentukan
F hitung
4. Menentukan
F tabel
Dapat dicari dengan Ms.
Excel menggunakan rumus “=finv(a,df1,df2)”
df1 = jumlah variabel
independen
df2 = n-k-1
5. Membandingkan
F hitung dan F tabel dengan kriteria
Ho = diterima jika: F
hitung ≤ F tabel
Ha = ditolak jika: F hitung > F
tabel
Uji Koefisien Regresi
Secara Parsial (Uji t)
Uji
ini digunakan untuk mengetahui apakah dalam model regresi variabel independen
secara parsial berpengaruh signifikan terhadap variabel dependen. Rumus t
hitung pada analisis regresi ini adalah sebagai berikut:
Langkah-langkah
pengujian koefisien regresi parsial adalah sebagai berikut:
1. Menentukan
Hipotesis
Ha = Secara parsial tidak ada pengaruh signifikan
Ho = Secara parsial
terdapat pengaruh signifikan
2. Menentukan
tingkat signifikansi
Biasanya menggunakan
taraf a = 5%
3. Menentukan
t hitung
4. Menentukan
t tabel
Dapat dicari dengan Ms.
Excell menggunakan rumus “=tinv(a,df)” df = n-k-1
5. Membandingkan
t hitung dan t tabel dengan kriteria
Ha = diterima jika: -t
tabel ≤ t hitung < t table
Ho = ditolak jika: -t
hitung < -t tabel atau t hitung > t table
E. Regresi
dengan SPSS
1. Regresi
sederhana
Analisis regresi linear
sederhana merupakan salah satu metode regresi yang dapat dipakai sebagai alat
inferensi statistik untuk menentukan pengaruh sebuah variabel bebas
(independen) terhadap variabel terikat (dependen). Uji Regresi linear sederhana
ataupun regresi linier berganda pada intinya memiliki beberapa tujuan, yaitu:
a. Menghitung
nilai estimasi rata-rata dan nilai variabel terikat berdasarkan pada nilai
variabel bebas.
b. Menguji
hipotesis karakteristik dependensi
c. Meramalkan
nilai rata-rata variabel bebas dengan didasarkan pada nilai variabel bebas
diluar jangkaun sample.
Pada
analisis regresi sederhana dengan menggunakan SPSS ada beberapa asumsi dan
persyaratan yang perlu diperiksa dan diuji, beberapa diantaranya adalah :
a. Variabel
bebas tidak berkorelasi dengan disturbance term (Error). Nilai disturbance termsebesar
0 atau dengan simbol sebagai berikut: E (U / X) = 0,
b. Jika
variabel bebas lebih dari satu, maka antara variabel bebas (explanatory) tidak
ada hubungan linier yang nyata,
c. Model
regresi dikatakan layak jika angka signifikansi pada ANOVA sebesar < 0.05,
Predictor yang digunakan sebagai variabel bebas harus layak. Kelayakan ini
diketahui jika angka Standard Error of Estimate < Standard Deviation,
d. Koefisien
regresi harus signifikan. Pengujian dilakukan dengan Uji T. Koefesien regresi
signifikan jika T hitung > T table (nilai kritis),
e. Model
regresi dapat diterangkan dengan menggunakan nilai koefisien determinasi (KD =
R Square x 100%) semakin besar nilai tersebut maka model semakin baik. Jika
nilai mendekati 1 maka model regresi semakin baik,
f. Residual
harus berdistribusi normal,
g. Databerskala
interval atau rasio,
h. Kedua
variabel bersifat dependen, artinya satu variabel merupakan variabel bebas
(variabel predictor) sedang variabel lainnya variabel terikat (variabel
response) Berikut ini contoh perhitungan regresi linier sederhana menggunakan
software SPSS 20.
Tutorial
Regresi Linear Sederhana dengan SPSS
Sebagai contoh saya
mempunyai data penelitian dengan judul “Pengaruh Stres Kerja Terhadap Kinerja
Pegawai”. Dari judul diatas maka hipotesis atau kesimpulan sementara yang saya
ajukan dan yang saya akan uji dengan analisis regresi linear sederhana adalah
“Ada Pengaruh Stres Kerja Terhadap Kinerja Pegawai”. Adapun data penelitian
yang saya maksud sebagaimana tabel di bawah ini
KETERANGAN
TERKAIT DATA PENELITIAN
Data diatas diperoleh
dari hasil penyebaran kuesioner atau angket (menggunakan nilai skor total
jawaban responden atas item-item soal kuesioner)
Jika menggunakan
kuesioner untuk data penelitian, maka item-item kuesioner tersebut harus
dipastikan sudah lolos uji validitas dan reliabilitas terlebih dahulu
Jumlah sampel yang
digunakan adalah 12 responden (pegawai)
Variabel Penelitian :
Stres Kerja sebagai variabel bebas (X) dan Kinerja Pegawai sebagai variabel
tergantung (Y)
CARA
UJI ANALISIS REGRESI LINEAR SEDERHANA DENGAN SPSS
Sebelum kita masuk pada
cara pengolahan data dalam uji analisis regresi linear sederhana dengan SPSS,
terlebih dahulu kita harus memastikan data tersebut telah lolos dalam syarat
kelayakan model regresi linear sederhana tentunya dengan cara melakukan uji
normalitas, uji linearitas dan uji heteroskedastisitas. Sementara untuk uji
autokorelasi tidak perlu dilakukan karena data di atas tidak termasuk data time
series atau data runtut waktu. Adapun urutan langkah-langkah uji analisis
regresi linear sederhana dengan SPSS adalah sebagai berikut:
1. Buka
lembar kerja SPSS lalu klik Variable View, selanjutnya pada kolom Name untuk
baris pertama tulis X, baris kedua Y. Lalu pada kolom Label baris pertama tulis
Stres Kerja dan baris kedua tulis Kinerja Pegawai [untuk pilihan lainnya
biarkan tetap default]
2. Langkah
berikutnya klik Data View [dari tampilan Data View terlihat ada dua nama
variabel yakni X dan Y], selanjutnya masukkan data penelitian dengan ketentuan
X untuk data Stres Kerja dan Y untuk Kinerja Pegawai [pada saat memasukkan data
penelitian harus dilakukan dengan teliti dan cermat karena jika terjadi
kesalahan pada proses penginputan ini, maka output SPSS tidak akan mengeluarkan
hasil yang akurat sesuai dengan harapan anda]
3. Jika
sudah yakin di input dengan benar, langkah selanjutnya kita klik menu Analyze –
kemudian klik Regression – lalu klik Linear
4. Setelah
itu akan muncul kotak dialog Linear Regression, masukkan variabel Stres Kerja
[X] ke kotak Independent(s), dan masukkan variabel Kinerja Pegawai [Y] ke kotak
Dependent, caranya dengan mengklik tanda panah yang tersedia. Selanjutnya pada
bagian Method: pilih Enter (abaikan pilihan yang lainnya)
5. Langkah
terakhir adalah klik Ok untuk mengakhiri perintah, maka akan keluar output SPSS
regresi linear sederhana sebagai berikut
Keterangan :
Menjelaskan tentang variabel yang dimasukkan serta metode yang digunakan dalam
analisis regresi linear
Keterangan : Berfungsi
untuk uji F dalam analisis regresi linear berganda
MEMBUAT
PERSAMAAN REGRESI LINEAR SEDERHANA
Secara umum rumus
persamaan regresi linear sederhana adalah Y = a + bX. Sementara untuk
mengetahui nilai koefisien regresi tersebut kita dapat berpedoman pada output
yang berada pada tabel coefficients berikut
a = angka konstan dari
unstandardized coefficients. Dalam kasus ini nilainya sebesar 35,420. Angka ini
merupakan angka konstan yang mempunyai arti bahwa jika tidak ada Stres Kerja
(X) maka nilai konsisten Kinerja Pegawai (Y) adalah sebesar 35,420
b = angka koefisien
regresi. Nilainya sebesar -0,511. Angka ini menggandung arti bahwa setiap
penambahan 1% tingkat Stres Kerja (X), maka Kinerja Pegawai (Y) akan meningkat
sebesar -0,511
Kerena nilai koefisien
regresi bernilai minus (-), maka dengan demikian dapat dikatakan bahwa Stres
Kerja (X) berpengaruh negatif terhadap Kinerja Pegawai (Y). Sehingga persamaan
regresinya adalah Y = 35,420 - 0,511 X
UJI
HIPOTESIS DALAM ANALISIS REGRESI LINEAR SEDERHANA
Uji hipotesis atau uji
pengaruh berfungsi untuk mengetahui apakah koefisien regresi tersebut
signifikan atau tidak. Sekedar mengingatkan bahwa hipotesis yang saya ajukan
dalam analisis regresi linear sederhana ini adalah:
a. H0
= Tidak ada Pengaruh Stres Kerja (X) terhadap Kinerja Pegawai (Y).
b. Ha
= Ada Pengaruh Stres Kerja (X) terhadap Kinerja Pegawai (Y).
Sementara itu, untuk
memastikan apakah koefisien regresi tersebut signifikan atau tidak (dalam arti
variabel X berpengaruh terhadap variabel Y) kita dapat melakukan uji hipotesis
ini dengan cara membandingkan nilai signifikansi (Sig.) dengan probabilitas
0,05 atau dengan cara lain yakni membandingkan nilai t hitung dengan t tabel.
UJI
HIPOTESIS MEMBANDINGKAN NILAI Sig DENGAN 0,05
Adapun yang menjadi
dasar pengambilan keputusan dalam analisis regresi dengan melihat nilai
signifikansi (Sig.) hasil output SPSS adalah:
a. Jika
nilai signifikansi (Sig.) lebih kecil < dari probabilitas 0,05 mengandung
arti bahwa ada Pengaruh Stres Kerja (X) terhadap Kinerja Pegawai (Y).
b. Sebaliknya,
jika nilai signifikansi (Sig.) lebih besar > dari probabilitas 0,05
mengandung arti bahwa tidak ada Pengaruh Stres Kerja (X) terhadap Kinerja
Pegawai (Y).
koefisien regresi
Berdasarkan output di
atas diketahui nilai signifikansi (Sig.) sebesar 0,001 lebih kecil dari <
probabilitas 0,05, sehingga dapat disimpulkan bahwa H0 ditolak dan Ha diterima,
yang berarti bahwa “Ada Pengaruh Stres Kerja (X) terhadap Kinerja Pegawai (Y)”
UJI
HIPOTESIS MEMBANDINGKAN NILAI T HITUNG DENGAN T TABEL
Pengujian hipotesis ini
sering disebut juga dengan uji t, dimana dasar pengambilan keputusan dalam uji
t adalah:
ika nilai t hitung
lebih besar > dari t tabel maka ada Pengaruh Stres Kerja (X) terhadap
Kinerja Pegawai (Y)
Sebaliknya, jika nilai
t hitung lebih kecil < dari t tabel maka tidak ada Pengaruh Stres Kerja (X)
terhadap Kinerja Pegawai (Y)
Berdasarkan output di
atas diketahui nilai t hitung sebesar -4,418. Karena nilai t hitung sudah
ditemukan, maka langkah selanjunya kita akan mencari nilai t tabel. Adapun
rumus dalam mencari t tabel adalah:
Nilai a / 2 = 0,05 / 2
= 0,025
Derajad kebebasan (df)
= n – 2 = 12 – 2 = 10
Nilai 0,025 ; 10
kemudian kita lihat pada distribusi nilai t tabel (Download distribusi nilai t
tabel), maka di dapat nilai t tabel sebesar 2,228. Karena nilai t hitung
sebesar -4,418 lebih besar dari > 2,228, sehingga dapat disimpulkan bahwa H0
ditolak dan Ha diterima, yang berarti bahwa “Ada Pengaruh Stres Kerja (X)
terhadap Kinerja Pegawai (Y)”. [nilai t hitung -4,418 dianggap lebih besar dari
nilai t tabel 2,228 dalam analisis regresi liner sederhana [Pengertian ini,
akan lebih jelas jika saya gambarkan dengan kurva uji t dalam analisis regresi
linear sederhana dibawah ini]
Catatan:
Uji t dapat menjadi alternatif uji hipotesis jika nilai signifikansi hasil SPSS
tepat di angka 0,05
UJI
HIPOTESIS DENGAN MELIHAT KURVA REGRESI
Pengujian menggunakan
kurva regresi akan bermanfaat jika nilai t hitung ditemukan negatif (-) yakni
-4,418. Simak dengan teliti kurva regresi di bawah ini
Berdasarkan kurva di
atas diketahui bahwa nilai t hitung sebesar-4,418 terletak pada area pengaruh
negatif, sehingga dapat disimpulkan bahwa “Ada Pengaruh Negatif Stres Kerja (X)
terhadap Kinerja Pegawai (Y)”.
MELIHAT
BESARNYA PENGARUH VARIABEL X TERHADAP Y
Untuk mengetahui
besarnya pengaruh Stres Kerja (X) terhadap Kinerja Pegawai (Y) dalam analisis
regresi linear sederhana, kita dapat berpedoman pada nilai R Square atau R2
yang terdapat pada output SPSS bagian Model Summary
Dari output di atas
diketahui nilai R Square sebesar 0,661. Nilai ini mengandung arti bahwa
pengaruh Stres Kerja (X) terhadap Kinerja Pegawai (Y) adalah sebesar 66,1 %
sedangkan 33,9% Kinerja Pegawai dipengaruhi oleh variabel yang lain yang tidak
diteliti.
KESIMPULAN
DARI UJI ANALISIS REGRESI LINEAR SEDERHANA
Merujuk pada membahasan
di atas, maka dapat kita simpulkan bahwa “Stres Kerja (X) berpengaruh negatif
terhadap Kinerja Pegawai (Y) dengan total pengaruh sebesar 66,1 %. Pengaruh
negatif ini bermakna semakin menurunnya stres kerja seorang karyawan (pegawai)
maka akan berpengaruh terhadap peningkatan kinerja pegawai tersebut.
2. Regresi
Berganda
Analisis regresi
merupakan suatu metode atau teknik analisis hipotesis penelitian untuk menguji
ada tidaknya pengaruh antara variabel satu dengan variabel lain yang dinyatakan
dalam bentuk persamaan matematik (regresi). Analisis regresi linear multiples
atau berganda berfungsi untuk mencari pengaruh dari dua atau lebih variabel
independent (variabel bebas atau X) terhadap variabel dependent (variabel
terikat atau Y).
Dengan demikian, secara
sederhana dapat dikatakan bahwa, apabila kita ingin mengetahui ada tidaknya
pengaruh satu variabel X terhadap variabel Y maka digunakan analisis regresi
sederhana. Sementara apabila kita ingin mengetahui pengaruh dua variabel X atau
lebih terhadap variabel Y maka digunakan analisis regresi linear ganda
(multiples).
Asumsi
Analisis Regresi Multiples (Berganda)
Sebelum kita melakukan
analisis regresi multiples atau regresi linear berganda untuk uji hipotesis
penelitian, maka ada beberapa asumsi atau persyaratan yang harus terpenuhi
dalam model regresi. Persyaratan atau asumsi ini dibuktikan melalui serangkaian
uji asumsi klasik mencakup:
a. Uji
normalitas, dimana asumsi yang harus terpenuhi adalah model regresi
berdistribusi normal.
b. Uji
linearitas, dimana hubungan yang terbentuk antara variabel independent dengan
variabel dependent secara parsial adalah linear.
c. Uji
multikolinearitas, dimana model regresi yang baik adalah tidak terjadi gejala
multikolinearitas.
d. Uji
heteroskedastisitas, dalam model regresi tidak terjadi gejala
heteroskedastisitas.
e. Uji
autokorelasi (khusus untuk data time series), persyaratan yang harus terpenuhi
adalah tidak terjadi autokorelasi.
detail tentang uji
asumsi klasik di atas, karena fokus kita dalam pembahasan artikel ini adalah
analisis regresi multiples (ganda). Adapun rumus persamaan analisis regresi
multiples adalah sebagai berikut:
"Theoremanya: Y =
a+b1x1+b2x2....bn"
Contoh
Kasus Analisis Regresi Multiples
Setelah kita mengetahui
teori atau konsep dasar mengenai analisis regresi multiples ini, sekarang kita
masuk ke bagian cara melakukan analisis regresi multiples dengan SPSS versi 21.
Sebagai contoh, kita ingin mengetahui apakah ada pengaruh variabel Motivasi
(X1) dan variabel Minat (X2), terhadap variabel Prestasi (Y), data penelitian
ini mempunyai sampel sebanyak 12 orang siswa. Adapun data lengkapnya dapat anda
lihat pada gambar di bawah ini.
Langkah-Langkah Analisis Regresi
Multiples (Berganda) dengan SPSS
1. Buka
program SPSS, klik Variable View, selanjutnya, pada bagian Name tulis Motivasi,
Minat dan Prestasi. Pada Decimals ubah semua menjadi angka 0. Pada bagian Label
tuliskan Motivasi (X1), Minat (X2), dan Prestasi (Y). Pada bagian Measure pilih
Scale. Maka tampak dilayar sebagaimana gambar berikut ini.
2. Setelah
itu, klik Data View, lalu masukkan data Motivasi (X1), Minat (X2) dan Prestasi
(Y) yang sudah dipersiapkan tadi. Tampak dilayar SPSS.
3. Selanjutnya,
dari menu utama SPSS, pilih Analyze – Regression – Linear
4. Muncul
kotak dialog dengan nama "Linear Regression", masukkan variabel
Motivasi (X1), Minat (X2) ke kotak Independent(s), masukkan variabel Prestasi
(Y) pada kotak Dependent, pada bagian Method pilih Enter, selanjutnya klik
Statistics...
5. Pada
bagian "Linear Regression: Statistics", berikan tanda centang pada
Estimates dan Model fit kemudian klik Continue
6. Langkah
terakhir adalah klik Ok, maka akan muncul output SPSS
Tabel
Output SPSS Analisis Regresi Multiples (Berganda)
Tabel output
"Variables Entered/Removed" di atas memberikan informasi tentang
variabel penelitian serta metode yang digunakan dalam analisis regresi. Adapun
variabel independent yang dipakai dalam analisis ini adalah variabel Minat dan
Motivasi. Sementara variabel dependent adalah variabel Prestasi. Analisis
regresi menggunakan metode Enter. Tidak ada variabel yang dibuang sehingga pada
kolom Variables Removed tidak ada angkanya atau kosong.
Tabel "Model
Summary" memberikan informasi tentang nilai koefisien determinasi, yakni
kontribusi atau sumbangan pengaruh variabel minat dan motivasi secara simultan
(bersama-sama) terhadap variabel prestasi. Pembahasan tentang tabel di atas
dapat anda simak pada artikel: Makna Koefisien Determinasi [R Square] dalam
Analisis Regresi Linear
Tabel "ANOVA"
memberikan informasi tentang ada tidaknya pengaruh variabel minat dan motivasi
secara simultan (bersama-sama) terhadap variabel prestasi. Pembahasan tentang
pengaruh simultan ini dapat anda simak pada artikel: Cara Melakukan Uji F
Simultan dalam Analisis Regresi
Tabel
"Coefficients" memberikan informasi tentang persamaan regresi dan ada
tidaknya pengaruh variabel minat dan motivasi secara parsial (sendiri-sendiri)
terhadap variabel prestasi. Adapun rumus persamaan regresi dalam analisis atau
penelitian ini adalah sebagai berikut:
Y = a+b1x1+b2x2 atau Y
= 2,612 + 0,192 + 0,888
Sementara, untuk
mengetahui ada tidaknya pengaruh variabel minat dan motivasi secara parsial
(sendiri-sendiri) terhadap variabel prestasi, maka pembahasannya dapat anda
simak pada artikel berikut: Cara Melakukan Uji t Parsial dalam Analisis Regresi
dengan SPSS
Berdasarkan keempat
output di atas, maka kita dapat membuat ringkasan hasil analisis regresi
multiples seperti gambar di bawah ini.
Ringkasan tabel di atas
berguna untuk mempermudah para membaca dalam melihat gambaran hasil analisis
regresi yang terdapat dalam penelitian kita. Dengan demikian tabel output
analisis regresi multiples tersebut tidak perlu dimasukkan secara utuh dalam
BAB pembahasan penelitian, namun cukup dicantumkan dalam lampiran penelitian
saja.
Contoh
Soal :
1. Apakah
perbedan antara regresi korelasi linear sederhna dan bergnda ?
Penyeleseaian :
Uji regresi sederhana
digunakan untuk mengetahui apakah variabel independen (X) berpengaruh secara
signifikan terhadap variabel dependen (Y). Signifikan berarti pengaruh yang
terjadi dapat berlaku untuk populasi (dapat digeneralisasikan). Sedangkan
analisis berganda digunakan untuk mengetahui hubungan antara 2 atau lebih
variabel independen terhadap variabel dependen secara serentak. Nilai R berkisar
antara 0 dan 1. Semakin mendekati angka 1 maka hubungan semakin kuat,
sebaliknya jika semakin mendekati angka 0 maka hubungan semakin lemah.
2. Perhatikan
tabel dibawah ini
Tabel diatas menyajikan
data dengan variabel X adalah umur mobil dan variabel Y adalah harga. Hasil
estimasinya adalah sebagai berikut :
sehingga persamaan
regresinya menjadi
Yˆ=195.47−20.26X
Dari hasil estimasi
yang diperoleh dapat disimpulkan bahwa setiap umur mobil bertambah satu tahun
maka harga mobil tersebut akan turun sebesar $2.026.
3. Seorang
pengamat pasar modal bernama Sugianto ingin melakukan penelitian tentang
faktor-faktor yang mempengaruhi harga saham pada perusahaan. Sugianto ingin
mengetahui hubungan antara rasio keuangan PER dan ROI (Return On Investment)
terhadap harga saham. Dari pernyataan tersebut, didapatkan variabel dependen
(Y) yaitu harga saham, dan variabel independen (X1 dan X2) yaitu PER dan ROI.
Data yang ditabulasikan sebagai berikut:
Penyelesaian :
Langkah:
a. Klik
analyze, klik regression, klik linier
b. Klik
PER dan ROI dan masukkan ke kotak Independent
c. Klik
Harga Saham dan masukkan ke kotak Dependent.
d. Klik
statistic: pilih estimates, Model Fit, Descriptives
e. Klik
continue
f. Klik
Plots pada Standardized Residual Plot, pilih Histogram dan Normal Probability
g. Klik
Continue dan Klik OK
Output pada SPSS dapat
dilihat sebagai berikut:
Dari hasil perhitungan
diperoleh:
Konstanta (a) =
7735,088; Koefisien Regresi 1 (b1) = 328,618; Koefisien Regresi 2 (b2) =
-104,002; R = 0,606; R2 = 0,368; F hitung = 2,327; t hitung PER = 2,157 dan t
hitung ROI = -0,561;
Kemudian kita hitung
hasil analisis:
Analisis Korelasi Ganda
(R)
R = 0,606 berdasarkan
tabel Sugiyono (2007) hubungan antar variabel kuat
Analisis Determinasi
(R2)
R2 = 0,368 jadi
presentasi sumbangan pengaruh variabel sebesar 36,8 %
Uji Koefisien Regresi
Bersama-sama (Uji F)
F hitung = 2,327
a = 5% = 0,05
df1 = 2 dan df2 = n-k-1
= 10-2-1 = 7
F tabel =
finv(0,05;2;7) = 4,737
Karena F hitung ≤ F
tabel, maka Ho diterima
Uji Koefisien Regresi
Parsial (Uji t)
t hitung PER = 2,157
dan t hitung ROI = -0,561
a = 5% = 0,05
df = n-k-1 = 10-2-1 = 7
t tabel = tinv(0,05;7)
= 2,364
Karena t hitung PER ≤ t
tabel, maka Ho PER diterima
Karena t hitung ROI ≥
-t tabel, maka Ho ROI diterima
4. Dalam
suatu penelitian yang dilakukan terhadap 10 rumah tangga yang diilih secara
acak, diperoleh data pengeluaran untuk pembelian barang-barang tahan lama per
minggu (Y), pendapatan per minggu (X1), dan jumlah anggota rumah tangga (X2)
sebagai berikut :
Seandainya suatu rumah
tangga mempunyai X1 dan X2, masing-masing 11 dan 8. Berapa besarnya nilai Y.
Artinya, berapa ratus rupiah rumah tangga yang bersangkutan akan mengeluarkan
biaya untuk pembelian barang-barang tahan lama ?
Penyelesaian :
Langkah pertama adalah
mengolah data diatas menjadi sebagai berikut:
Dari hasil penghitungan
diatas model regresi linier berganda dapat dituliskan sebagai berikut :
Yˆ = 5,233 +
3,221X1 + 0,451X2
Dari model diatas dapat
disimpulkan bahwa setiap kenaikan pendapatan per minggu sebesar Rp1000 maka akan
menaikkan pengeluaran untuk pembelian barang-barang tahan lama per minggu
sebesar Rp322,1 dengan asumsi jumlah anggota rumah tangga konstan/tetap.
Demikian juga, jika
jumlah anggota rumah tangga bertambah 1 orang maka akan menaikkan pengeluaran
untuk pembelian barang-barang tahan lama per minggu sebesar Rp45,1 dengan
asumsi pendapatan per minggu konstan/tetap.
Yˆ = 5,233 +
3,221X(11) + 0,451X(8) =44,272
Ketika suatu rumah
tangga memiliki pendapatan perminggu sebesar Rp11.000 dengan anggota rumah
tangga sebanyak 8 orang maka pengeluaran untuk pembelian barang-barang tahan
lama per minggu sebesar Rp4.427,2.
5. Seorang
pengusaha bernama Andrianto ingin meneliti tentang pengaruh biaya promosi
terhadap volume penjualan pada perusahaan minyak wangi. Dari pernyataan
tersebut didapatvariabel dependen (Y) adalah volume penjualan dan variabel
independen (X) adalah biaya promosi. Data-data yang didapat ditabulasikan
sebagai berikut:
Peyelesaian :
Langkah :
a. Buka
file : korelasi & regresi
b. Klik
Analyze, klik Regression, dan klik linier
c. Klik
dan pindahkan volume penjualan ke kotak dependent dan biaya promosi ke kotak
independent dengan mengetik tanda ►
d. Klik
statistics pilih estimates, model fit, dan descriptive.
e. Klik
continue
f. Klik
plots
g. Pada
standardized residual plots, pilih histogram dan normal probability plot.
h. Klik
continue dan klik OK.
Output pada SPSS dapat
dilihat sebagai berikut:
Dari hasil perhitungan
didapatkan:
Y= a + bx
Konstanta (a) = 45.286;
Koefisien Regresi (b) = 1,238; dan t hitung = 1.419
Selanjutnya yaitu
menganalisis signifikansi pengaruh variabel independen dengan variabel
dependen. Jika ditetapkan hipotesis sebagai berikut:
Tidak ada pengaruh
secara signifikan antara biaya promosi dengan volume penjualan
Ada pengaruh signifikan
antara biaya promosi dengan volume penjualan
Dengan menggunakan tingkat
signifikansi 5%, pengujian 2 sisi, dan derajat kebebasan (df) = n-k-1 = 10-1-1
= 8 (dimana n = jumlah data, k = jumlah variabel independen) maka diperoleh t
tabel sebesar 2.30600. (dapat dilihat pada Ms Excel dengan mengetikkan
“=tinv(0,05;8)” lalu tekan Enter). Karena t hitung < t tabel, maka Ha
diterima. Kesimpulannya, terdapat pengaruh yang signifikan antara biaya promosi
dengan volume penjualan.





















































Komentar
Posting Komentar